Home Deals Explore
Account
PC97 Logo

About 4 results for "UCoOjTxz-u5zU0W38zMkQIFw"

Featured Results

Cantor set

Cantor set

Dr PeyamNov 24, 2021

Epsilon delta limit (Example 6): Square Roots
PT4M3S

Epsilon delta limit (Example 6): Square Roots

Dr PeyamJun 3, 2020

39k

Proof of the Chain Rule

Proof of the Chain Rule

Dr PeyamNov 25, 2019

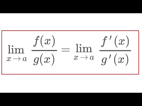
Hopital rule proof
PT34M42S

Hopital rule proof

Dr PeyamNov 12, 2018

52k

Home AiChat Shop Saved Account

Plus+ Channels: Better for Creators, Smarter for Shoppers

© 2025 PC97.com - All rights reserved.

About Contact Help FAQ Privacy Terms

Loading...

Loading...